This article is based on a poster originally authored by Chunyan Han, Jiafu Mu, Rong Zhang, Xingjin Jiao, Haowen Li, Jiawei Zhang, Qipeng He, Aocheng He, Qiujin Ma, Yingying Shi, Yangyang Zhang, Chenglin Li and Mandy Xu.
Introduction
P-glycoprotein (P-gp) is a major membrane transporter associated with xenobiotic efflux that has been studied extensively in early drug development. Its level of expression influences the absorption and efflux of medication both in vitro and in vivo.
To ensure reliable in vitro-in vivo extrapolation (IVIVE), transporter abundance must be accurately quantified in cellular and tissue models.
In this study, targeted proteomics were combined with LC-MS/MS to allow for the absolute quantification of P-gp in membrane preparations from Caco-2 cells and rat small intestine enterocytes.
Methods
- In silico tools such as UniProt, Protein BLAST, and ExPASy were used to identify two surrogate peptides for quantifying P-gp.
- Caco-2 cells were extracted from 96-well Transwell inserts, and enterocytes were isolated from rat jejunal tissue using EDTA (30 mM) chelation.
- Cell membrane proteins were extracted with the Mem-PER Plus kit. P-gp was subsequently reduced with dithiothreitol, alkylated with iodoacetamide, and digested with trypsin at 37 °C for 16 hours.
- P-gp was quantified using LCMS/MS.
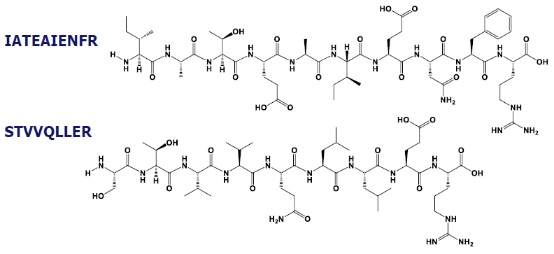
Surrogate peptides for P-gp quantification

Image Credit: Pharmaron
Structural formula and amino acid sequence of P-gp surrogate peptides: The surrogate peptides were found using in silico methods and are specific to Pgp, located in the cytoplasmic domain.
Standard curves for P-gp quantification

Image Credit: Pharmaron
Standard curve of surrogate peptides: Standard samples were generated using a human serum albumin matrix. Curves were created by graphing the ratio of surrogate peptide peak area to the internal standard vs concentration.
Procedures of targeted proteomics quantification of P-gp

Image Credit: Pharmaron
Isolated enterocytes from rat intestine
Conclusion
- Surrogate peptides IATEAIENFR and STVVQLLER were used to detect and quantify P-gp. Both showed good linearity in standard curves up to 20 nM in solution.
- Enterocytes were isolated from the small intestine using EDTA chelation. IATEAIENFR was quantifiable in both Caco-2 cells and rat enterocytes, but STVVQLLER went below the quantification range.
- P-gp abundances in membrane proteins were detected at 1.33 fmol/μg for Caco-2 and 0.75 fmol/μg for isolated rat enterocytes.
About Pharmaron
Pharmaron (Stock Code: 300759.SZ/3759.HK) is a premier R&D service provider for the life sciences industry. Founded in 2004, Pharmaron has invested in its people and facilities, and established a broad spectrum of research, development and manufacturing service capabilities throughout the entire drug discovery, preclinical and clinical development process across multiple therapeutic modalities, including small molecules, biologics and CGT products. With over 17,000 employees, and operations in China, the U.S., and the U.K., Pharmaron has an excellent track record in the delivery of R&D solutions to its partners in North America, Europe, Japan and China.
Sponsored Content Policy: News-Medical.net publishes articles and related content that may be derived from sources where we have existing commercial relationships, provided such content adds value to the core editorial ethos of News-Medical.Net which is to educate and inform site visitors interested in medical research, science, medical devices and treatments.
Last Updated: Jan 9, 2026