Their study titled, "Declining prevalence of antibody positivity to SARS-CoV-2: a community study of 365,000 adults," was released online as a pre-print on the medRxiv* server. This large study was funded by the Department of Health and Social Care in England.

This news article was a review of a preliminary scientific report that had not undergone peer-review at the time of publication. Since its initial publication, the scientific report has now been peer reviewed and accepted for publication in a Scientific Journal. Links to the preliminary and peer-reviewed reports are available in the Sources section at the bottom of this article. View Sources
Background
A serological survey across the nation to look at the prevalence of antibodies against SARS CoV-2 among populations can help determine the proportion of the population exposed to the infection and help understand the pandemic's future course and the possible efficacy of vaccinations.
To date, there have been such serological surveys from Iceland and Spain. The Icelandic survey showed antibodies persist in the blood for over 4 months. Other studies have shown a decline in the levels of the antibodies found in blood with time.
Some of the factors that could be responsible for such variations could be the severity of initial illness, age, and the presence of comorbidities, wrote the researchers.
They call for sequential antibody surveys to see the persistence of these antibodies in blood and responses to exposure to infection. This could help understand the possible ways immunity could be developed against the infection and limit the spread of the infection among the community, say the researchers.
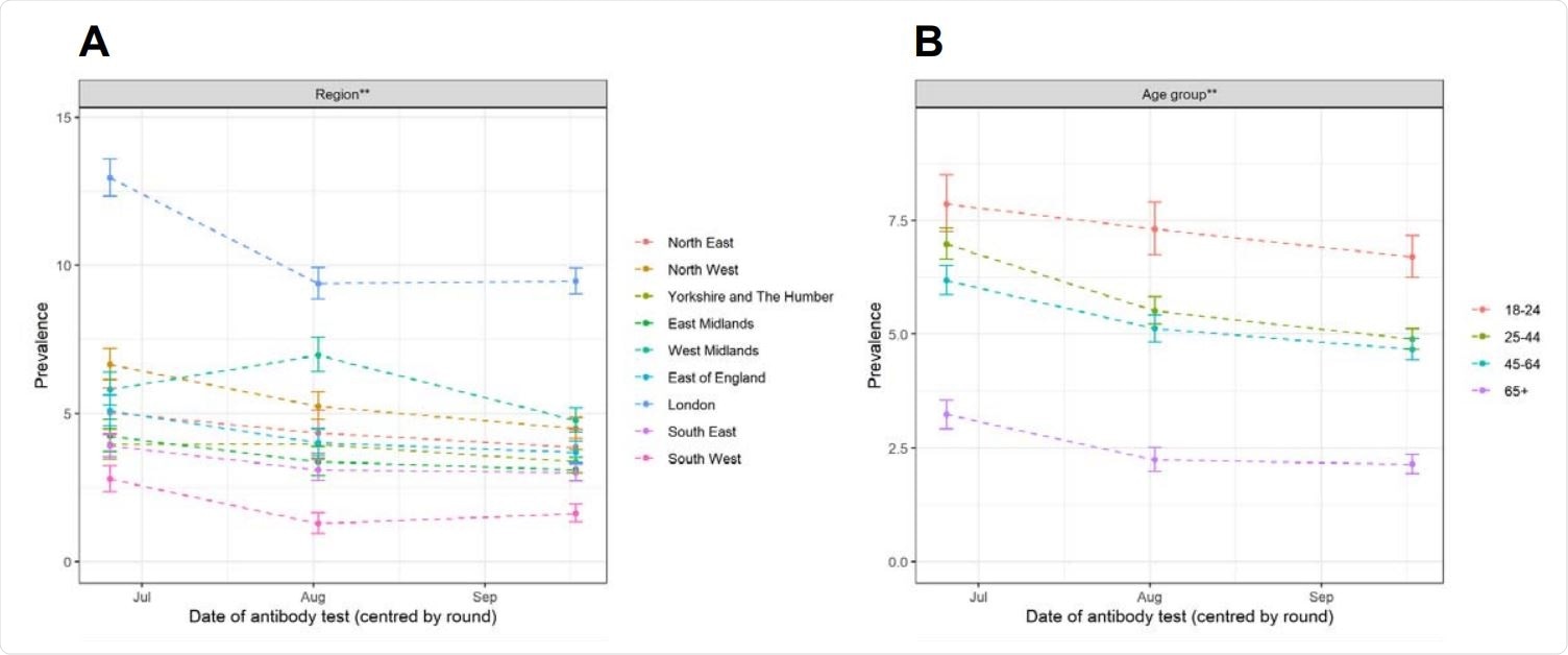
Prevalence in each of the nine regions of England; B) prevalence by age group; Error bars indicate 95% confidence intervals. Prevalences are adjusted for known test performance and re-weighted where appropriate to be representative of the 18+ population of England (** denotes weighted prevalence). Survey responses were received across 2–3 week periods in each round (in late June, early August and mid-September); data points are aligned with the median response date within each round
England and serosurveys
For this study, the team used a home-based testing approach to see the antibodies' prevalence against SARS-CoV-2, indicating past infection. The first national survey in England was carried out, including 105,000 individuals in late June 2020. Results had shown that 6 percent of the adults had detectable antibodies against the infection. A second wave of infections was seen in the country in August 2020.
Tests applied and antibody waning
In the REACT2 study, a self-administered lateral flow immunoassay (LFIA) test for IgG was used. This test can detect a positive result based on antibody levels in the body. LFIA positivity depends on individuals' antibody level, and as it falls, the test shows negative.
Authors explain, "Thus the proportion of positive tests in sequential, random population, samples can be used as an indicator of antibody waning."
Study design
A three-round survey was conducted as part of the REACT-2 study between late June and September 2020, with the team looking at the LFIA results. The population surveyed was randomly selected adults and who were registered with a General Practitioner in England. Registrations of 125,000 people in the first two rounds and 195,000 in the third round were included. Around 29.9 percent provided a valid (IgG positive or negative) result, with response rates declining over the three rounds. A short questionnaire was also administered to the participants.
What was found?
Over the three rounds, the following were the main results:
- There were a total of 17,576 positive tests over the three rounds.
- Antibody prevalence fell across England from 6 percent (ranging between 5.8 and 6.1%) to 4.8 percent [4.7 percent to 5.0 percent] and 4.4 percent [4.3 percent to 4.5 percent] over three months.
- A fall of 26.5 percent in antibody levels was noted.
- The declines were between rounds 1 and 3 across all age groups of participants.
- The decline in antibody levels was least in the youngest age group between 18 and 24 years at - 14.9 percent (between -21.6 and -8.1 percent).
- The decline in antibody levels was most among the oldest age groups over 75 years at - 39 percent (between – 50.8 and -27.2 percent).
- There was no alteration in antibody levels among healthcare workers between rounds 1 and 3 (3.45 percent ranging between -5.7 percent and +12.7 percent).
- The fall from round 1 to round 3 was greatest among persons who did not have a positive history of confirmed COVID-19 in the past (-64.0 percent ranging between -75.6 percent and -52.3 percent).
- Those who had had a confirmed SARS CoV-2 infection in the past had a fall in antibody levels between rounds 1 and 3 at around -22.3 percent (ranging between -27 percent and -17.7 percent).
Conclusions and implications of the study
This study shows a natural waning in antibody levels against SARS CoV-2 over time. This has been noted at the start of the second wave of the infection in England. During this second wave, only around 4.4 percent of adults across England had detectable IgG antibodies using an LFIA. Antibody positivity remained among those who were older, had an asymptomatic infection, and had reported a positive PCR result for COVID-19 earlier.
The authors concluded, "These data suggest the possibility of decreasing population immunity and increased risk of reinfection as detectable antibodies decline in the population."

This news article was a review of a preliminary scientific report that had not undergone peer-review at the time of publication. Since its initial publication, the scientific report has now been peer reviewed and accepted for publication in a Scientific Journal. Links to the preliminary and peer-reviewed reports are available in the Sources section at the bottom of this article. View Sources
Journal references:
- Preliminary scientific report.
Declining prevalence of antibody positivity to SARS-CoV-2: a community study of 365,000 adults Helen Ward, Graham Cooke, Christina J Atchison, Matthew Whitaker, Joshua Elliott, Maya Moshe, Jonathan C Brown, Barney Flower, Anna Daunt, Kylie E. C. Ainslie, Deborah Ashby, Christl A. Donnelly, Steven Riley, Ara Darzi, Wendy Barclay, Paul Elliott medRxiv 2020.10.26.20219725; doi: https://doi.org/10.1101/2020.10.26.20219725, https://www.medrxiv.org/content/10.1101/2020.10.26.20219725v1
- Peer reviewed and published scientific report.
Ward, Helen, Graham S. Cooke, Christina Atchison, Matthew Whitaker, Joshua Elliott, Maya Moshe, Jonathan C Brown, et al. 2021. “Prevalence of Antibody Positivity to SARS-CoV-2 Following the First Peak of Infection in England: Serial Cross-Sectional Studies of 365,000 Adults.” The Lancet Regional Health - Europe 4 (May): 100098. https://doi.org/10.1016/j.lanepe.2021.100098. https://www.sciencedirect.com/science/article/pii/S2666776221000752.