Early antibody response predicts COVID-19 outcome

Severe acute respiratory syndrome coronavirus 2 (SARS-CoV-2), the novel coronavirus behind the coronavirus disease 2019 (COVID-19) pandemic, has claimed over 2.54 million lives so far and affected more than 114 million people globally. In the U.S. alone, more than 516,000 deaths are attributed to the virus. Neutralizing antibodies targeting the SARS-CoV-2 spike protein are the most widely used candidates for developing vaccines and therapeutics. So far, there have been three Emergency Use Authorizations by the U.S. Food and Drug Administration for such antibodies and combinations, and many others are in the development pipeline.

Studies have shown that the inflammatory phase of COVID-19 is associated with severe disease and acute respiratory distress syndrome. During this phase, macrophages and monocytes are activated, and cytokines are released, leading to a cytokine storm. It may also involve viral transmission independent of the ACE2 receptor. Those with activated immune and endothelial cells may also be more sensitive to inflammation associated with the antibody-virus immune complex. However, treatment benefit with monoclonal antibodies has only been observed in trials involving outpatients with mild to moderate disease but not in hospitalized patients with advanced disease.

Determining the timing of anti-SARS-CoV-2 antibody production in hospitalized patients

To address this gap, researchers from the U.S. evaluated the timing of antibody production against SARS-CoV-2 in hospitalized patients. They used a highly sensitive multiplexed bead-based immunoassay that allows for early detection of anti-SARS-CoV-2 antibodies. The study is published on the preprint server medRxiv*.

This news article was a review of a preliminary scientific report that had not undergone peer-review at the time of publication. Since its initial publication, the scientific report has now been peer reviewed and accepted for publication in a Scientific Journal. Links to the preliminary and peer-reviewed reports are available in the Sources section at the bottom of this article. View Sources

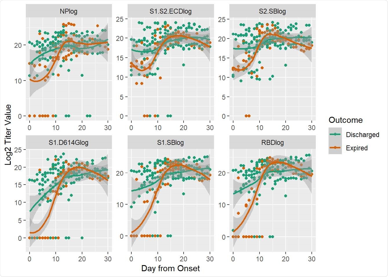
The study cohort had 33 patients, with 11 females and 22 males ranging from 30 to 95 years. There were 4 to 16 collections per patient over 0 to 42 days after onset of symptoms. Antibody levels for the SARS-CoV-2 antigens were plotted against time based on days after symptom onset in the discharged and expired patients.

Antibody titers at different days after onset were measured by the multiplexed beads array as described in Methods. Displayed are specific IgG antibody titer values (log transformed) in expired (orange) and discharged (green) groups of patients targeting the nucleocapsid protein (NP) and five spike protein components, i.e., S1+S2 ECD, S2, S1 (D614G), S1 and RBD. Dots are titer values for each patient at the corresponding day from onset; lines are smoothed regression fit to the observed data with 95% confidence interval bands.
Antibody titers at different days after onset were measured by the multiplexed beads array as described in Methods. Displayed are specific IgG antibody titer values (log transformed) in expired (orange) and discharged (green) groups of patients targeting the nucleocapsid protein (NP) and five spike protein components, i.e., S1+S2 ECD, S2, S1 (D614G), S1 and RBD. Dots are titer values for each patient at the corresponding day from onset; lines are smoothed regression fit to the observed data with 95% confidence interval bands.

Expired COVID-19 patients had significantly lower anti-SARS-CoV-2 antibody levels compared to discharged patients

The researchers found that patients who expired had significantly lower antibody levels to the SARS-CoV-2 spike protein in the first week after onset of symptoms compared to discharged COVID-19 patients. They also developed a model to predict COVID-19 outcomes based on antibody level trajectory.  A notable difference was observed in outcome by sex – Only 1 female in the cohort expired compared to 10 in the male cohort.

“Although the mechanisms for these findings need further elucidation, these results align well with clinical studies on therapeutic antibodies.”

This study shows that early detection of antibodies against SARS-CoV-2 was associated with better survival in hospitalized COVID-19 patients. Early levels of antibodies predicted COVID-19 outcome, and this result is consistent with therapeutic antibody benefit early in the COVID 19 disease course. This model is supported by convalescent plasma therapy that shows better outcomes associated with early treatment and lack of benefit with late treatment.

“Early antibody responses may relate to variability in time of infection to symptom onset and reflect other mechanisms related to disease onset”.

Sensitive assay methods and proper modeling could help predict clinical course and choose appropriate therapeutic interventions

The findings show that while developing an early antibody response as an outcome predictor, it is crucial to have a sensitive method such as the flow cytometry bead-based method used in this study to detect antibodies early in the course of disease reliably. Such an assay method with proper modeling could help predict patients’ clinical course and select appropriate therapeutic interventions.

According to the authors, the exact stage of disease progression that may benefit from antibody therapy needs to be studied further. It may depend on the nature of the antibodies and additional interventions. With more and more studies on neutralizing antibodies, early antibody levels may help to decide appropriate therapies in the future.

“While the above approaches helped us demonstrate significant differences in the early antibody response between patients who expired and those who were discharged, it did not tell us whether the antibody response trajectory itself can be predictive of the eventual outcome.”

This news article was a review of a preliminary scientific report that had not undergone peer-review at the time of publication. Since its initial publication, the scientific report has now been peer reviewed and accepted for publication in a Scientific Journal. Links to the preliminary and peer-reviewed reports are available in the Sources section at the bottom of this article. View Sources

Journal references:

Article Revisions

  • Apr 5 2023 - The preprint preliminary research paper that this article was based upon was accepted for publication in a peer-reviewed Scientific Journal. This article was edited accordingly to include a link to the final peer-reviewed paper, now shown in the sources section.
Susha Cheriyedath

Written by

Susha Cheriyedath

Susha is a scientific communication professional holding a Master's degree in Biochemistry, with expertise in Microbiology, Physiology, Biotechnology, and Nutrition. After a two-year tenure as a lecturer from 2000 to 2002, where she mentored undergraduates studying Biochemistry, she transitioned into editorial roles within scientific publishing. She has accumulated nearly two decades of experience in medical communication, assuming diverse roles in research, writing, editing, and editorial management.

Citations

Please use one of the following formats to cite this article in your essay, paper or report:

  • APA

    Cheriyedath, Susha. (2023, April 05). Early antibody response predicts COVID-19 outcome. News-Medical. Retrieved on January 20, 2026 from https://www.intakehealthlab.com/news/20210302/Early-antibody-response-predicts-COVID-19-outcome.aspx.

  • MLA

    Cheriyedath, Susha. "Early antibody response predicts COVID-19 outcome". News-Medical. 20 January 2026. <https://www.intakehealthlab.com/news/20210302/Early-antibody-response-predicts-COVID-19-outcome.aspx>.

  • Chicago

    Cheriyedath, Susha. "Early antibody response predicts COVID-19 outcome". News-Medical. https://www.intakehealthlab.com/news/20210302/Early-antibody-response-predicts-COVID-19-outcome.aspx. (accessed January 20, 2026).

  • Harvard

    Cheriyedath, Susha. 2023. Early antibody response predicts COVID-19 outcome. News-Medical, viewed 20 January 2026, https://www.intakehealthlab.com/news/20210302/Early-antibody-response-predicts-COVID-19-outcome.aspx.

Comments

The opinions expressed here are the views of the writer and do not necessarily reflect the views and opinions of News Medical.
Post a new comment
Post

Sign in to keep reading

We're committed to providing free access to quality science. By registering and providing insight into your preferences you're joining a community of over 1m science interested individuals and help us to provide you with insightful content whilst keeping our service free.

or

While we only use edited and approved content for Azthena answers, it may on occasions provide incorrect responses. Please confirm any data provided with the related suppliers or authors. We do not provide medical advice, if you search for medical information you must always consult a medical professional before acting on any information provided.

Your questions, but not your email details will be shared with OpenAI and retained for 30 days in accordance with their privacy principles.

Please do not ask questions that use sensitive or confidential information.

Read the full Terms & Conditions.

You might also like...
Dinutuximab beta plus chemotherapy shrinks neuroblastoma tumors in children