Maintaining swimming pools in line with UK guidelines eliminates SARS-CoV-2 risk

Researchers in the UK have conducted a study showing that maintaining swimming pool water in accordance with UK guidelines is sufficient to eliminate the risk of severe acute respiratory syndrome coronavirus 2 (SARS-CoV-2) being transmitted between bathers.

The novel SARS-CoV-2 virus is the agent responsible for the coronavirus disease 2019 (COVID-19) pandemic that continues to ravage the globe, threatening global public health and the worldwide economy.

In the UK, swimming pools reopened from April 12th this year (2021) as part of the government's approach to easing restrictions as the country exits its third lockdown.

However, "the effect of swimming pool water on the inactivation of SARS-CoV-2 has not yet been directly demonstrated," say researchers from Imperial College London and Water Babies Ltd in Devon.

Now, Wendy Barclay and colleagues have shown that ensuring swimming pool water meets UK guidelines are enough to reduce levels of infectious SARS-CoV-2 by at least three orders of magnitude.

A pre-print version of the research paper is available on the bioRxiv* server, while the article undergoes peer review.

Study: Inactivation of SARS-CoV-2 in chlorinated swimming pool water. Image Credit: Mila Supinskaya Glashchenko / Shutterstock
Study: Inactivation of SARS-CoV-2 in chlorinated swimming pool water. Image Credit: Mila Supinskaya Glashchenko / Shutterstock

This news article was a review of a preliminary scientific report that had not undergone peer-review at the time of publication. Since its initial publication, the scientific report has now been peer reviewed and accepted for publication in a Scientific Journal. Links to the preliminary and peer-reviewed reports are available in the Sources section at the bottom of this article. View Sources

Quantifying transmission risk is important as countries relax lockdown rules

The continued global spread of the novel SARS-CoV-2 while countries' attempts to ease lockdown restrictions necessitates quantification of the infection risk within various settings.

In the UK, public swimming pools reopened from April 12th, 2021, as part of the government's plan to exit the country's third lockdown.

Outbreaks of certain respiratory viruses such as hepatitis A and noroviruses, which can be transmitted by the fecal–oral route, have previously been linked to swimming pools.

However, Barclay and colleagues say such findings have often been the result of poorly maintained chlorine levels.

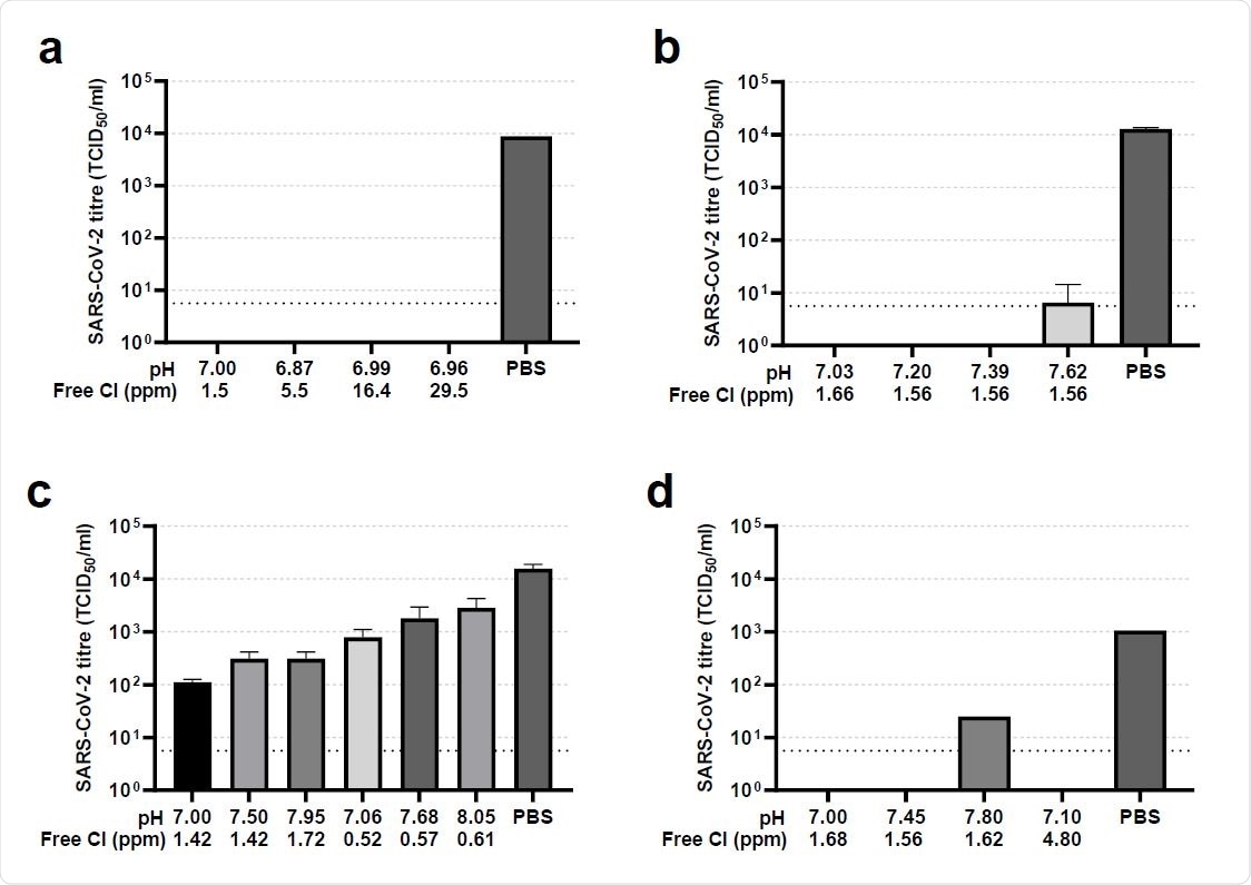
Exposure to chlorinated water inactivates SARS-CoV-2. Water samples taken from a swimming pool were modified in the laboratory to a range of pH and free chlorine values. A known amount of infectious SARS-CoV-2 was added to duplicate water samples in a volume of 1 ml, incubated for 30 seconds at RT and any remaining infectious virus then titrated by TCID50 on Vero cells. Residual virus titres are shown as the mean and SD of duplicate TCID50/ml values. Successive experiments were performed with varying free chlorine levels (a), varying pH (b), a range of both pH and free chlorine levels (c), and an independent preparation of virus at a range of pH and chlorine levels (d). A PBS control was included in each experiment to validate the infectivity of the virus input. Lower pH and higher free chlorine levels resulted in greater inactivation of SARS-CoV-2. A pH of no more than 7.4 and free chlorine above 1.5 parts per million (ppm) resulted in at least a 3-log10 reduction in viral titre.
Exposure to chlorinated water inactivates SARS-CoV-2. Water samples taken from a swimming pool were modified in the laboratory to a range of pH and free chlorine values. A known amount of infectious SARS-CoV-2 was added to duplicate water samples in a volume of 1 ml, incubated for 30 seconds at RT and any remaining infectious virus then titrated by TCID50 on Vero cells. Residual virus titers are shown as the mean and SD of duplicate TCID50/ml values. Successive experiments were performed with varying free chlorine levels (a), varying pH (b), a range of both pH and free chlorine levels (c), and independent preparation of virus at a range of pH and chlorine levels (d). A PBS control was included in each experiment to validate the infectivity of the virus input. Lower pH and higher free chlorine levels resulted in greater inactivation of SARS-CoV-2. A pH of no more than 7.4 and free chlorine above 1.5 parts per million (ppm) resulted in at least a 3-log10 reduction in viral titer.

Chlorination has been used for decades

Chlorination is the technique that has been used to stop pathogens from being transmitted between swimming pool users for decades.

"However, since the causative agent of COVID-19 – SARS-CoV-2 – only emerged in late 2019, inactivation of SARS-CoV-2 by chlorinated water has not yet been directly demonstrated," write the researchers.

In the UK, sodium hypochlorite is used to maintain a free chlorine level of 1.5-3 mg/l (ppm), while the pH is kept between 7.0 and 7.6 since the availability of active free chlorine decreases with increasing pH.

What did the researchers do?

Stocks of SARS-CoV-2 for use in infectivity assays are usually generated by infection of a permissive cell line and harvesting of the virus in a highly buffered cell culture medium. However, in preliminary experiments, Barclay and colleagues found that even a small amount of buffered medium quenched the chlorine activity of water samples, whereas the use of an unbuffered saline solution largely mitigated the quenching.

A 1:100 dilution of SARS-CoV-2 virus in normal (unbuffered) saline generated in Caco-2 cells was added to swimming water samples that were incubated for 30 seconds at room temperature.

Residual virus infectivity was then titrated on Vero cells by TCID50 assay. This assay quantifies viral titers by determining the concentration at which 50% of infected cells exhibit damaging effects.

For each experiment, the same virus stock was incubated for 30 seconds in phosphate buffer solution as a control.

What did the study find?

The researchers demonstrated that adherence to the UK guidelines on maintaining swimming pool water reduced infectious titers of SARS-CoV-2 enough to eliminate the risk of transmission between bathers.

At the minimum UK recommended levels of chlorine (1.5 ppm) and pH7, no infective virus was detected.

The level of infectious viral titer was reduced by at least 3 orders (3-log10), compared with the PBS control samples.

Next, the residual SARS-CoV-2 infectivity was measured under conditions with higher pH, while the free chlorine level was maintained at approximately 1.5 ppm.

Infectious virus was undetectable under all conditions, except for at a pH level of 7.62.

However, even at this high pH, only low levels of virus infectivity (at the threshold of detection) were observed.

This viral inactivation equated to a 3-log10 reduction in infectivity, compared with the PBS control.

The findings highlight the importance of adhering to UK guidelines

The researchers say the study shows that inactivation of SARS-CoV-2 in swimming pool water is dependent on the correct level of both free chlorine and pH.

The findings underscore the importance of maintaining swimming pools in line with UK guidelines, which should give bathers confidence in the safety of the water, adds the team.

"Finally, we stress that swimmers should continue to adhere to locally recommended social distancing rules both in and out of the water," concludes Barclay and colleagues.

This news article was a review of a preliminary scientific report that had not undergone peer-review at the time of publication. Since its initial publication, the scientific report has now been peer reviewed and accepted for publication in a Scientific Journal. Links to the preliminary and peer-reviewed reports are available in the Sources section at the bottom of this article. View Sources

Journal references:

Article Revisions

  • May 18 2023 - The preprint preliminary research paper that this article was based upon was accepted for publication in a peer-reviewed Scientific Journal. This article was edited accordingly to include a link to the final peer-reviewed paper, now shown in the sources section.
Sally Robertson

Written by

Sally Robertson

Sally first developed an interest in medical communications when she took on the role of Journal Development Editor for BioMed Central (BMC), after having graduated with a degree in biomedical science from Greenwich University.

Citations

Please use one of the following formats to cite this article in your essay, paper or report:

  • APA

    Robertson, Sally. (2023, May 18). Maintaining swimming pools in line with UK guidelines eliminates SARS-CoV-2 risk. News-Medical. Retrieved on January 18, 2026 from https://www.intakehealthlab.com/news/20210421/Maintaining-swimming-pools-in-line-with-UK-guidelines-eliminates-SARS-CoV-2-risk.aspx.

  • MLA

    Robertson, Sally. "Maintaining swimming pools in line with UK guidelines eliminates SARS-CoV-2 risk". News-Medical. 18 January 2026. <https://www.intakehealthlab.com/news/20210421/Maintaining-swimming-pools-in-line-with-UK-guidelines-eliminates-SARS-CoV-2-risk.aspx>.

  • Chicago

    Robertson, Sally. "Maintaining swimming pools in line with UK guidelines eliminates SARS-CoV-2 risk". News-Medical. https://www.intakehealthlab.com/news/20210421/Maintaining-swimming-pools-in-line-with-UK-guidelines-eliminates-SARS-CoV-2-risk.aspx. (accessed January 18, 2026).

  • Harvard

    Robertson, Sally. 2023. Maintaining swimming pools in line with UK guidelines eliminates SARS-CoV-2 risk. News-Medical, viewed 18 January 2026, https://www.intakehealthlab.com/news/20210421/Maintaining-swimming-pools-in-line-with-UK-guidelines-eliminates-SARS-CoV-2-risk.aspx.

Comments

The opinions expressed here are the views of the writer and do not necessarily reflect the views and opinions of News Medical.
Post a new comment
Post

Sign in to keep reading

We're committed to providing free access to quality science. By registering and providing insight into your preferences you're joining a community of over 1m science interested individuals and help us to provide you with insightful content whilst keeping our service free.

or

While we only use edited and approved content for Azthena answers, it may on occasions provide incorrect responses. Please confirm any data provided with the related suppliers or authors. We do not provide medical advice, if you search for medical information you must always consult a medical professional before acting on any information provided.

Your questions, but not your email details will be shared with OpenAI and retained for 30 days in accordance with their privacy principles.

Please do not ask questions that use sensitive or confidential information.

Read the full Terms & Conditions.

You might also like...
Can an allergy spray help prevent COVID-19?