In-silico prediction of effective drug combinations for the treatment of SARS-CoV-2 infection

Coronavirus disease 2019 (COVID-19) is a complex disease with a wide range of symptoms, ranging from asymptomatic to very severe. Even though a majority of the people infected with this disease show mild symptoms, the Centers for Disease Control and Prevention (CDC) has reported that in the USA alone, 4.9% of COVID-19 patients required hospitalization, from the start of the pandemic to March 2021. This disease is caused by a highly infectious RNA virus, namely, severe acute respiratory syndrome coronavirus-2 (SARS-CoV-2).

Previous studies have reported that in the case of mild disease, an immediate innate immune and interferon (IFN-I/III) response to SARS-CoV-2 infection occurs while adaptive immune responses initiate later. However, this is not so for individuals who suffer from a severe COVID-19 infection. Researchers have often observed a delayed or no IFN I/III response in severely infected patients with COVID-19 disease.

Several COVID-19 vaccines have received emergency use authorization (EUA) from various regulatory bodies, and, subsequently, vaccination programs have commenced in many countries around the globe. Even though vaccination is the first big step towards attaining “normalcy,” the emergence of new SARS-CoV-2 variants has posed a threat to the effectiveness of the approved vaccines. Hence, there is an urgent need to identify effective drugs to prevent and cure SARS-CoV-2 infection and lower the mortality rate.

The rapid development of COVID-19 therapeutics

Typically, the development of therapeutics via de novo pathways is a long, complex, and time-consuming process. Therefore, to come up with effective and rapid treatments, scientists have combined readily available drugs that are affordable, validated, and safe for the treatment of the COVID-19 disease.

Even though several studies have identified many potential compounds for the treatment of SARS-CoV-2 infection, some challenging questions need to be addressed for their optimal use. Scientists believe in finding scientific answers to questions such as (a) which drug is most effective at what stage of the infection? and, (b) which combination of drugs could provide optimal results at a lower dose and with minimal side effects. Finding answers to these questions could help develop the most effective therapeutics against COVID-19 infection.

Signaling network model

A new study published on the bioRxiv* preprint server has developed the first computational model, i.e., a signaling network model, that can predict effective repurposed drug combinations to treat different phases of COVID-19 disease. This study has focused on identifying drugs for the treatment of early- and late-stage severe disease.

Schematic workflow of SARS-CoV-2 infection modelling. Publicly available COVID-19 datasets are collated into two subsets. Data on the point-to-point signalling pathway interactions of the virus with the host cell, and of the host cell in response to infection, are used to build a network model. Data from experiments showing how the overall behaviour of the infected cell changes under perturbations, such as a potential treatment, are used as a testing dataset to validate the model. The readouts of the model are compared to the testing dataset and the model is refined iteratively until it reproduces all the experimentally observed behaviours. We then screen the effects of potential drug treatments, either singly or in combination, on the model, to find the best predicted therapies for early and late stage severe COVID-19.
Schematic workflow of SARS-CoV-2 infection modeling. Publicly available COVID-19 datasets are collated into two subsets. Data on the point-to-point signaling pathway interactions of the virus with the host cell, and of the host cell in response to infection, are used to build a network model. Data from experiments showing how the overall behavior of the infected cell changes under perturbations, such as a potential treatment, is used as a testing dataset to validate the model. The readouts of the model are compared to the testing dataset and the model is refined iteratively until it reproduces all the experimentally observed behaviors. We then screen the effects of potential drug treatments, either singly or in combination, on the model, to find the best predicted therapies for early and late stage severe COVID-19.

This news article was a review of a preliminary scientific report that had not undergone peer-review at the time of publication. Since its initial publication, the scientific report has now been peer reviewed and accepted for publication in a Scientific Journal. Links to the preliminary and peer-reviewed reports are available in the Sources section at the bottom of this article. View Sources

The current research is based on the results of previous studies from the same team of researchers that had successfully identified novel drug candidates and effectively combined different drugs to treat cancer.

In this study, they created a detailed network map of the interaction between SARS-CoV-2 and lung epithelial cells because, in the majority of the severely infected COVID-19 cases, there has been a history of extensive pulmonary infection.

The authors of this study have screened those drugs that are clinically approved or are in Phase II/III trials. Therefore, these drugs can be used immediately and benefit patients currently suffering from the SARS-CoV-2 infection.

As stated above, this model has been used to screen numerous drug combinations to establish effective recipes that can block either viral-host interactions or the pathogenic dysregulation of the immune response. Subsequently, researchers have identified several combinations of repurposed drugs that show the possibility to act together to inhibit viral replication in the early stages of the disease or prevent inflammation in the late stage.

In this study, researchers have used their executable model to conduct the in-silico screening of 9,870 pairs of 140 potential targets and have successfully identified 12 new drug combinations. Among these combinations, Camostat and Apilimod were predicted to be the most favorable combinations to inhibit viral replication in the early stages of severe disease. As per the mechanism, these drugs can effectively block the two key pathways for viral entry, i.e., via the cell membrane exploiting TMPRSS2 and through the endosomal route.

The authors of this study have shown that both the drugs work optimally in combination rather than alone. Further, this combination has been validated experimentally using human Caco-2 cells.

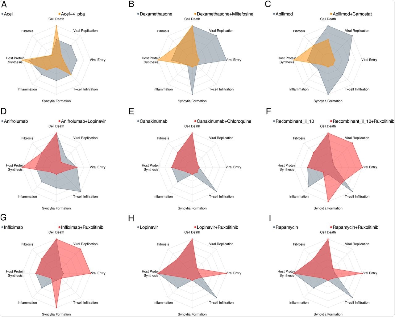
Predicted effective drug treatments for severe COVID-19. (A-C) The effect of monotherapy vs drug combinations identified to reduce viral replication in early stage of severe COVID-19. Monotherapy (grey), combination (orange), with the strength of the biological process denoted by radial distance. (D-I) The effect of monotherapy vs drug combinations identified to reduce inflammation in late stage of severe COVID-19. Monotherapy (grey), combination (red). All nodes normalised to maximal level of respective nodes, and range between 0-100%.
Predicted effective drug treatments for severe COVID-19. (A-C) The effect of monotherapy vs drug combinations was identified to reduce viral replication in the early stage of severe COVID-19. Monotherapy (grey), combination (orange), with the strength of the biological process denoted by radial distance. (D-I) The effect of monotherapy vs drug combinations identified to reduce inflammation in late stage of severe COVID-19. Monotherapy (grey), combination (red). All nodes normalized to maximal level of respective nodes, and range between 0-100%.

Significance of the newly developed mechanistic model of COVID-19 therapeutics

The main advantage of using this mechanistic modeling is a rapid pre-clinical assessment of combination therapies specifically designed to combat different stages of disease progression. This model helps understand why a particular treatment remains effective while others fail. Additionally, this computational model also helps determine the correct dose of drugs for a patient.  The scientists believe that this model could play an important role in containing the ongoing pandemic by identifying therapeutic strategies to manage COVID-19 disease at various stages.

This news article was a review of a preliminary scientific report that had not undergone peer-review at the time of publication. Since its initial publication, the scientific report has now been peer reviewed and accepted for publication in a Scientific Journal. Links to the preliminary and peer-reviewed reports are available in the Sources section at the bottom of this article. View Sources

Journal references:

Article Revisions

  • Apr 11 2023 - The preprint preliminary research paper that this article was based upon was accepted for publication in a peer-reviewed Scientific Journal. This article was edited accordingly to include a link to the final peer-reviewed paper, now shown in the sources section.
Dr. Priyom Bose

Written by

Dr. Priyom Bose

Priyom holds a Ph.D. in Plant Biology and Biotechnology from the University of Madras, India. She is an active researcher and an experienced science writer. Priyom has also co-authored several original research articles that have been published in reputed peer-reviewed journals. She is also an avid reader and an amateur photographer.

Citations

Please use one of the following formats to cite this article in your essay, paper or report:

  • APA

    Bose, Priyom. (2023, April 11). In-silico prediction of effective drug combinations for the treatment of SARS-CoV-2 infection. News-Medical. Retrieved on January 17, 2026 from https://www.intakehealthlab.com/news/20210730/In-silico-prediction-of-effective-drug-combinations-for-the-treatment-of-SARS-CoV-2-infection.aspx.

  • MLA

    Bose, Priyom. "In-silico prediction of effective drug combinations for the treatment of SARS-CoV-2 infection". News-Medical. 17 January 2026. <https://www.intakehealthlab.com/news/20210730/In-silico-prediction-of-effective-drug-combinations-for-the-treatment-of-SARS-CoV-2-infection.aspx>.

  • Chicago

    Bose, Priyom. "In-silico prediction of effective drug combinations for the treatment of SARS-CoV-2 infection". News-Medical. https://www.intakehealthlab.com/news/20210730/In-silico-prediction-of-effective-drug-combinations-for-the-treatment-of-SARS-CoV-2-infection.aspx. (accessed January 17, 2026).

  • Harvard

    Bose, Priyom. 2023. In-silico prediction of effective drug combinations for the treatment of SARS-CoV-2 infection. News-Medical, viewed 17 January 2026, https://www.intakehealthlab.com/news/20210730/In-silico-prediction-of-effective-drug-combinations-for-the-treatment-of-SARS-CoV-2-infection.aspx.

Comments

The opinions expressed here are the views of the writer and do not necessarily reflect the views and opinions of News Medical.
Post a new comment
Post

Sign in to keep reading

We're committed to providing free access to quality science. By registering and providing insight into your preferences you're joining a community of over 1m science interested individuals and help us to provide you with insightful content whilst keeping our service free.

or

While we only use edited and approved content for Azthena answers, it may on occasions provide incorrect responses. Please confirm any data provided with the related suppliers or authors. We do not provide medical advice, if you search for medical information you must always consult a medical professional before acting on any information provided.

Your questions, but not your email details will be shared with OpenAI and retained for 30 days in accordance with their privacy principles.

Please do not ask questions that use sensitive or confidential information.

Read the full Terms & Conditions.

You might also like...
Can an allergy spray help prevent COVID-19?