An Australian study conducted at the University of Melbourne describes that the emergence of more deadly variants of concern (VOCs) of severe acute respiratory syndrome coronavirus 2 (SARS-CoV-2) is associated with an induction in episodic evolutionary rate. The study is currently available on the medRxiv* preprint server.

This news article was a review of a preliminary scientific report that had not undergone peer-review at the time of publication. Since its initial publication, the scientific report has now been peer reviewed and accepted for publication in a Scientific Journal. Links to the preliminary and peer-reviewed reports are available in the Sources section at the bottom of this article. View Sources
Background
Whole-genome sequencing analysis is particularly important for evolutionary and epidemiological monitoring of SARS-CoV-2 and its variants. Mutations that change transmissibility, infectivity, and immunogenicity of SARS-CoV-2 are expected to emerge under positive selection pressure and play a key role in viral evolution. With the progression of coronavirus disease 2019 (COVID-19) pandemic, four VOCs, namely alpha (UK), beta (South Africa), gamma (Brazil), and delta (India), have emerged, which are characterized by a number of defined mutations in the spike protein, such the D614G and N501Y mutations.
The total number of mutations in these VOCs (usually more than 10 mutations) is significantly higher than the number expected under the phylogenetic evolutionary rate (background rate), which allows for the accumulation of about two mutations per month per variant.
In the current study, scientists have investigated whether the emergence of VOCs is associated with an increase in evolutionary rate.
Study design
The scientists analyzed genetic sequences of SARS-CoV-2 publicly available in the GISAID (Global Initiative on Sharing Avian Influenza Data) database by considering different molecular clock models that estimate the evolutionary rate along branches in phylogenetic trees. The molecular clock models they considered for the analysis include the strict molecular clock, uncorrelated relaxed clock, and a range of fixed local clock models.
The strict molecular clock hypothesizes that all branches in a phylogenetic tree are under a single evolutionary rate. In contrast, the uncorrelated relaxed clock hypothesizes that the evolutionary rates for all branches are independent and equally distributed. The fixed local clock models are operated under a set of “background” branches and a set of “foreground” branches with different evolutionary rates.
While considering the fixed local clock models, the scientists hypothesized that the evolutionary rate could vary within VOC clades or along the stem, or only at stem branches. Another assumption was that all VOCs could share the evolutionary rates.
The change in evolutionary rate along the stem branches of VOCs represents a condition wherein a short-term increase in the evolutionary rate may occur prior to returning to the background rate. In contrast, the change in evolutionary rate within VOC clades represents a condition wherein all VOCs have an evolutionary rate that is different from the background rate.
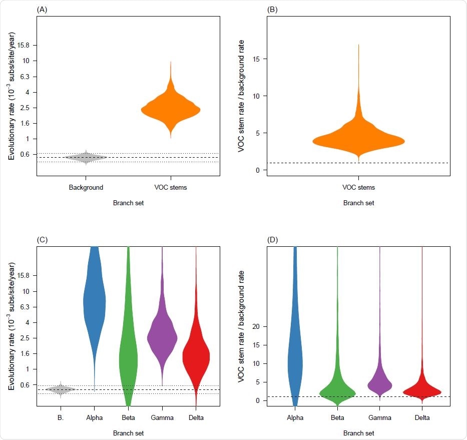
Violin plots for posterior statistics of fixed local clock models (FLC). (A) is for an FLC where the stem branches of VOCs share an evolutionary rate that is different from that of the background. The evolutionary rate for variants of concern (VOC) stem branches is shown in orange and the background in grey. The dashed line represents the mean background rate and the dotted lines are the 95% credible interval. (B) is the ratio of the evolutionary rate for VOC stem branches and the background under the same model and the dashed line represents a value of 1.0 where the background and VOC stem rate would be the same. (C) and (D) show the corresponding statistics for the FLC stems model, where the stem branch of every VOC has a different rate. Abbreviation 'B.' stands for background.
Important observations
The study findings revealed that the evolutionary rate of SARS-CoV-2 varies significantly between variants and that the emergence of different VOCs of SARS-CoV-2 is associated with an increase in episodic evolutionary rate. Specifically, the evolutionary rate was estimated to be 4-fold higher than the background phylogenetic rate that may have lasted several weeks or months.
As estimated in the study, the number of mutations required for the emergence of the alpha variant might have taken 14 weeks to accumulate. Similarly, the mutations required for the emergence of beta, gamma, and delta variants might have taken 4, 17, and 6 weeks to accumulate, respectively.
Study significance
The study highlights the importance of genomic surveillance data and phylogenetic methods in determining the evolutionary rates of viral VOCs. However, the exact mechanism responsible for the evolution of VOCs is still uncertain.
As mentioned by the scientists, the dynamics of viral evolution could be deciphered by dense sampling between transmission chains, especially in regions where the transmission is low and intra-host sequences are available. In addition, it is vital to investigate the impact of natural selection on the emergence and persistence of VOCs.
In the article, scientists have highlighted the need for early detection of VOCs and the evaluation of the conditions that favor the emergence of VOCs.

This news article was a review of a preliminary scientific report that had not undergone peer-review at the time of publication. Since its initial publication, the scientific report has now been peer reviewed and accepted for publication in a Scientific Journal. Links to the preliminary and peer-reviewed reports are available in the Sources section at the bottom of this article. View Sources