Researchers find ELF5 gene a leading candidate behind severe COVID-19

Are there any risk factors that predispose patients to severe COVID-19 outcomes? A recent study published in the medRxiv* preprint server sheds light on this popular question. Using a combination of population genetics to single-cell RNA sequencing, European researchers identified the respiratory epithelial cell-specific ELF5 gene as a potential mediator for severe COVID-19 cases.

Study: ELF5 is a respiratory epithelial cell-specific risk gene for severe COVID-19. Image Credit: ktsdesign / ShutterstockStudy: ELF5 is a respiratory epithelial cell-specific risk gene for severe COVID-19​​​​​​​. Image Credit: ktsdesign / Shutterstock

This news article was a review of a preliminary scientific report that had not undergone peer-review at the time of publication. Since its initial publication, the scientific report has now been peer reviewed and accepted for publication in a Scientific Journal. Links to the preliminary and peer-reviewed reports are available in the Sources section at the bottom of this article. View Sources

Understanding the causes behind severe COVID-19 illness could prevent hospitalization and death. Scientists could then repurpose drugs that target and inhibit the activation of genes associated with severe illness for COVID-19 treatments.

Study details

The study used genetically informed plasma proteomics to find genes from over 2,375 potential protein targets that could explain the cause behind severe COVID-19 illness. They searched for a shared genetic architecture at protein-coding loci and narrowed their search to six unknown candidate causal proteins.

Increases in ELF5 gene expression elevates risk for poorer COVID-19 prognosis

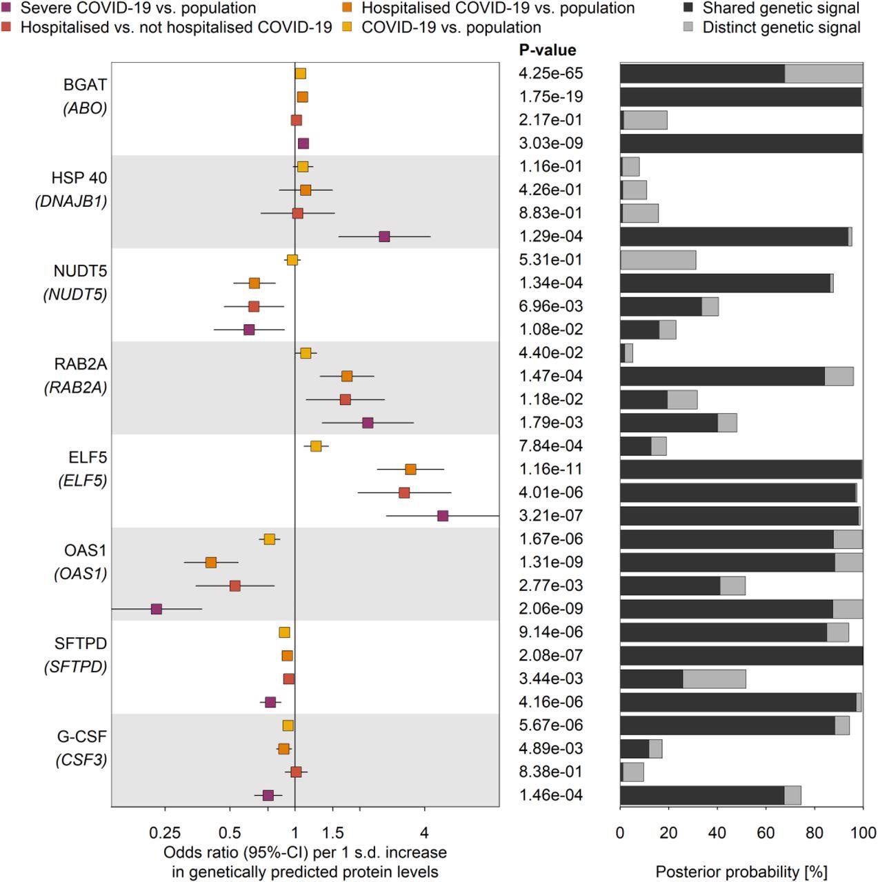
One of six protein candidates, ELF5, stood out to the researchers. ELF5 was significantly and directly correlated with all four COVID-19 outcomes ranging from mild to severe illnesses. Additionally, there was evidence of a person’s genes predicting a person’s chances of requiring hospitalization for severe disease. Increases in the ELF5 gene led to 5-fold increased risk of developing severe COVID-19 illness.

The five other candidate proteins were also associated with a poorer COVID-19 prognosis, but not with as much firm evidence as to the ELF5 gene. For instance, G-CSF shared an estimated 64% genetic signal for more severe COVID-19 infection.

 

Genetic signal linked ELF5 expression to severe infection is specific to the lungsProteins genetically linked to various COVID-19 outcomes. Odds ratios and 95%-CIs for the genetically predicted effect of protein levels on four different outcome definitions and control populations for COVID-19 (left), including protein targets with strong evidence for statistical colocalization for at least one definition (right). The column in the middle reports p-values. BGAT = Histo-blood group ABO system transferase; HSP 40 = DnaJ homolog subfamily B member 1; NUDT5 = ADP-sugar pyrophosphatase; RAB2A = Ras-related protein Rab-2A; ELF5 = ETS-related transcription factor Elf-5; OAS1 = 2’-5’-oligoadenylate synthase 1; SFTPD = Pulmonary surfactant-associated protein D; G-CSF = Granulocyte colony-stimulating factor

Proteins genetically linked to various COVID-19 outcomes. Odds ratios and 95%-CIs for the genetically predicted effect of protein levels on four different outcome definitions and control populations for COVID-19 (left), including protein targets with strong evidence for statistical colocalization for at least one definition (right). The column in the middle reports p-values. BGAT = Histo-blood group ABO system transferase; HSP 40 = DnaJ homolog subfamily B member 1; NUDT5 = ADP-sugar pyrophosphatase; RAB2A = Ras-related protein Rab-2A; ELF5 = ETS-related transcription factor Elf-5; OAS1 = 2’-5’-oligoadenylate synthase 1; SFTPD = Pulmonary surfactant-associated protein D; G-CSF = Granulocyte colony-stimulating factor

With a new severe acute respiratory syndrome coronavirus 2 (SARS-CoV-2) variant known as rs61882275, there is an association between it and severe infection. However, the gene causing the severity remained unknown. Researchers in the current study identified the ELF5  gene as the leading causal gene behind severe SARS-CoV-2 infection.

The researchers then tested for colocalization of ELF5 gene expression across a variety of tissues that SARS-CoV-2 could infect. They found ELF5  is expressed in multiple tissues, but its expression in the lung was associated with a higher risk of severe COVID-19 infection and increased amounts of ELF5 in the blood.

ELF5 expression and a poor COVID-19 prognosis were specific to lung function.

ELF5 expression is found in different epithelial cells in the lungs

Using single nucleus RNA sequences across samples of healthy donors, the team found ELF5 is expressed in multiple types of respiratory epithelial cells. Sustentacular and Bowman gland cells from the olfactory mucosa and secretory epithelial cells from the nasopharynx and distal bronchioles of the lung had high ELF5 expression. These cells are also the ones that tend to be infected and express host proteins used by SARS-CoV-2, including ACE2 and TRMPRSS2.

When looking at the lungs of patients who died from COVID-19 infection, they found substantial alveolar damage consistent with the high ELF5 expression seen in secretory cells. However, the researchers note that AT2 but not AT1 lung cells maintain the same expression of ELF5. This corresponds with classical lineage markers for AT2 cells, such as SFTPD, and may suggest there are other candidate genes that interact with ELF5 gene expression.

Next, the researchers looked at ELF5 expression in the same tissue samples of two patients who died less than 2 weeks after becoming infected with SARS-CoV-2. Again, they observed a damaged olfactory epithelium, including injured Bowman glands and low ELF5 expression in cells. There were also injuries to the alveolar region of the lungs, with only a few AT2 cells remaining.

AT2 cells that exhibited high ELF5 expression formed clusters. In addition, secretory cells such as SCGB1A1+ and other epithelial cells of the airway mucosa showed ELF5 expression and were damaged during SARS-CoV-2 infection. With high ELF5 expression, there were also signs of remodeling in respiratory tissue samples, as there was a loss in the structural integrity in the lungs.

ELF5 expression was also found to be linked to severe COVID-19 illness because it is coexpressed with TMPRSS2 — a gene needed for viral entry into cells. There was a positive correlation between ELF5 and TMPRSS2 expression in sustentacular cells.

The results suggest ELF5 expression plays a role in the course of severe COVID-19 infection.

This news article was a review of a preliminary scientific report that had not undergone peer-review at the time of publication. Since its initial publication, the scientific report has now been peer reviewed and accepted for publication in a Scientific Journal. Links to the preliminary and peer-reviewed reports are available in the Sources section at the bottom of this article. View Sources

Journal references:

Article Revisions

  • May 11 2023 - The preprint preliminary research paper that this article was based upon was accepted for publication in a peer-reviewed Scientific Journal. This article was edited accordingly to include a link to the final peer-reviewed paper, now shown in the sources section.
Jocelyn Solis-Moreira

Written by

Jocelyn Solis-Moreira

Jocelyn Solis-Moreira graduated with a Bachelor's in Integrative Neuroscience, where she then pursued graduate research looking at the long-term effects of adolescent binge drinking on the brain's neurochemistry in adulthood.

Citations

Please use one of the following formats to cite this article in your essay, paper or report:

  • APA

    Solis-Moreira, Jocelyn. (2023, May 11). Researchers find ELF5 gene a leading candidate behind severe COVID-19. News-Medical. Retrieved on January 17, 2026 from https://www.intakehealthlab.com/news/20220124/Researchers-find-ELF5-gene-a-leading-candidate-behind-severe-COVID-19.aspx.

  • MLA

    Solis-Moreira, Jocelyn. "Researchers find ELF5 gene a leading candidate behind severe COVID-19". News-Medical. 17 January 2026. <https://www.intakehealthlab.com/news/20220124/Researchers-find-ELF5-gene-a-leading-candidate-behind-severe-COVID-19.aspx>.

  • Chicago

    Solis-Moreira, Jocelyn. "Researchers find ELF5 gene a leading candidate behind severe COVID-19". News-Medical. https://www.intakehealthlab.com/news/20220124/Researchers-find-ELF5-gene-a-leading-candidate-behind-severe-COVID-19.aspx. (accessed January 17, 2026).

  • Harvard

    Solis-Moreira, Jocelyn. 2023. Researchers find ELF5 gene a leading candidate behind severe COVID-19. News-Medical, viewed 17 January 2026, https://www.intakehealthlab.com/news/20220124/Researchers-find-ELF5-gene-a-leading-candidate-behind-severe-COVID-19.aspx.

Comments

The opinions expressed here are the views of the writer and do not necessarily reflect the views and opinions of News Medical.
Post a new comment
Post

Sign in to keep reading

We're committed to providing free access to quality science. By registering and providing insight into your preferences you're joining a community of over 1m science interested individuals and help us to provide you with insightful content whilst keeping our service free.

or

While we only use edited and approved content for Azthena answers, it may on occasions provide incorrect responses. Please confirm any data provided with the related suppliers or authors. We do not provide medical advice, if you search for medical information you must always consult a medical professional before acting on any information provided.

Your questions, but not your email details will be shared with OpenAI and retained for 30 days in accordance with their privacy principles.

Please do not ask questions that use sensitive or confidential information.

Read the full Terms & Conditions.

You might also like...
COVID-19 immunity stays specific and barely boosts protection against common cold coronaviruses