SpaceX employee study estimates odds ratio for SARS-CoV-2 reinfection

The rapid spread of the severe acute respiratory syndrome coronavirus 2 (SARS-CoV-2) into the population that had little pre-existing immunity against this new virus led to high levels of mortality and morbidity. Therefore, identifying the extent and duration of protective immunity conferred by natural infection is important in predicting the possible long-term epidemic dynamics of SARS-CoV-2.

Study: SARS-CoV-2 antibodies protect against reinfection for at least 6 months in a multicentre seroepidemiological workplace cohort. Image Credit: Dotted Yeti / Shutterstock.com

Study: SARS-CoV-2 antibodies protect against reinfection for at least 6 months in a multicentre seroepidemiological workplace cohort. Image Credit: Dotted Yeti / Shutterstock.com

Background

Previous studies have reported that 95% of patients with symptomatic coronavirus disease 2019 (COVID-19) develop antibodies against SARS-CoV-2 within about three weeks of symptom onset. Studies have also indicated that, in some cases, these antibody levels wane, while others experience more sustained levels of anti-SARS-CoV-2 antibodies for several months.

Antibody kinetics are often associated with the severity of illness and vary between individuals. However, little information on the impact of post-infection seropositivity on future reinfection risks is available.

In a new study published in the journal PLOS Biology, researchers analyze serological testing and polymerase-chain-reaction (PCR) data from a prospective cohort of SpaceX employees in the United States to evaluate the risk of SARS-CoV-2 infection and reinfection over time between April 2020 and February 2021.

About the study

The study recruited SpaceX employees from seven different work locations across the U.S. All study participants provided their serological samples during four rounds of testing between April 2020 and September 2020, and also completed a questionnaire that included questions on the symptom, demographic, and exposure information.

Finally, the odds ratio for SARS-CoV-2 reinfection was calculated using PCR test results and serological status data of the participants.

Study findings

Out of the 4,411 individuals who participated in the study, 309 were seropositive during the study period. Of these 309 seropositive individuals, 14 possible reinfections were detected. Furthermore, between 72% to 86% protection against reinfection with SARS-CoV-2 for six months was detected. The estimation of the odds ratio ranged from 0.14 to 0.28.

Taken together, the current study demonstrates that the possibility of reinfection for SARS-CoV-2 infected individuals was quite low. The study also highlighted both the individual-level heterogeneity in risk of infection and population-level variation in epidemic dynamics while analyzing the potential of reinfections.

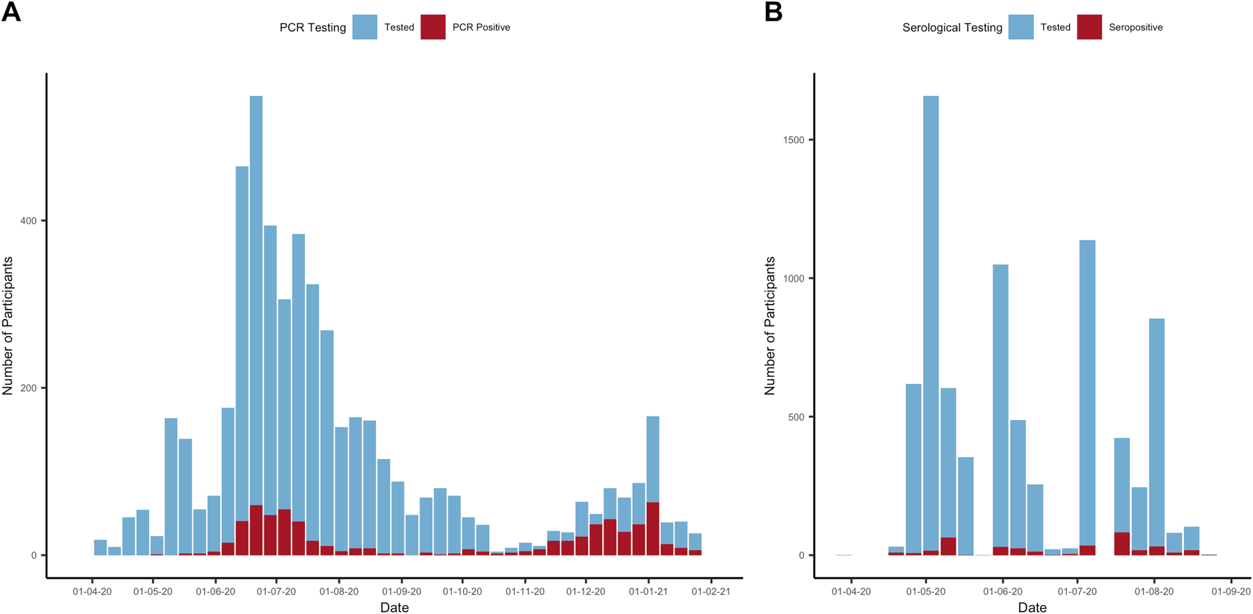
(A) Number of PCR tests and PCR positive tests in the cohort between April 5, 2020 and January 31, 2021 from 3,296 participants. (B) Number of serological tests and seropositive tests between March 29, 2020 and August 23, 2020 from 4,411 participants. Data underlying this figure can be found in https://github.com/EmilieFinch/covid-reinfection.(A) Number of PCR tests and PCR positive tests in the cohort between April 5, 2020 and January 31, 2021 from 3,296 participants. (B) Number of serological tests and seropositive tests between March 29, 2020 and August 23, 2020 from 4,411 participants. Data underlying this figure can be found in https://github.com/EmilieFinch/covid-reinfection

Limitations

The study participants did not represent the general population. An additional limitation was that the study involved analysis of possible infections, rather than true or probable infections. Third, the date of infection among seropositive participants was unknown.

Journal reference:
  • Finch, E., Lowe, R., Fischinger, S., et al. (2022). SARS-CoV-2 antibodies protect against reinfection for at least 6 months in a multicentre seroepidemiological workplace cohort. PLOS Biology. doi:10.1371/journal.pbio.3001531.
Suchandrima Bhowmik

Written by

Suchandrima Bhowmik

Suchandrima has a Bachelor of Science (B.Sc.) degree in Microbiology and a Master of Science (M.Sc.) degree in Microbiology from the University of Calcutta, India. The study of health and diseases was always very important to her. In addition to Microbiology, she also gained extensive knowledge in Biochemistry, Immunology, Medical Microbiology, Metabolism, and Biotechnology as part of her master's degree.

Citations

Please use one of the following formats to cite this article in your essay, paper or report:

  • APA

    Bhowmik, Suchandrima. (2022, February 14). SpaceX employee study estimates odds ratio for SARS-CoV-2 reinfection. News-Medical. Retrieved on January 19, 2026 from https://www.intakehealthlab.com/news/20220214/SpaceX-employee-study-estimates-odds-ratio-for-SARS-CoV-2-reinfection.aspx.

  • MLA

    Bhowmik, Suchandrima. "SpaceX employee study estimates odds ratio for SARS-CoV-2 reinfection". News-Medical. 19 January 2026. <https://www.intakehealthlab.com/news/20220214/SpaceX-employee-study-estimates-odds-ratio-for-SARS-CoV-2-reinfection.aspx>.

  • Chicago

    Bhowmik, Suchandrima. "SpaceX employee study estimates odds ratio for SARS-CoV-2 reinfection". News-Medical. https://www.intakehealthlab.com/news/20220214/SpaceX-employee-study-estimates-odds-ratio-for-SARS-CoV-2-reinfection.aspx. (accessed January 19, 2026).

  • Harvard

    Bhowmik, Suchandrima. 2022. SpaceX employee study estimates odds ratio for SARS-CoV-2 reinfection. News-Medical, viewed 19 January 2026, https://www.intakehealthlab.com/news/20220214/SpaceX-employee-study-estimates-odds-ratio-for-SARS-CoV-2-reinfection.aspx.

Comments

The opinions expressed here are the views of the writer and do not necessarily reflect the views and opinions of News Medical.
Post a new comment
Post

Sign in to keep reading

We're committed to providing free access to quality science. By registering and providing insight into your preferences you're joining a community of over 1m science interested individuals and help us to provide you with insightful content whilst keeping our service free.

or

While we only use edited and approved content for Azthena answers, it may on occasions provide incorrect responses. Please confirm any data provided with the related suppliers or authors. We do not provide medical advice, if you search for medical information you must always consult a medical professional before acting on any information provided.

Your questions, but not your email details will be shared with OpenAI and retained for 30 days in accordance with their privacy principles.

Please do not ask questions that use sensitive or confidential information.

Read the full Terms & Conditions.

You might also like...
COVID-19 immunity stays specific and barely boosts protection against common cold coronaviruses