Do individuals with long COVID ever recover fully?

In a recent study published on the medRxiv* server, researchers investigate the sociodemographic factors that contribute to the remission of the post-coronavirus disease 2019 (COVID-19) condition (PCC) or long COVID. Additionally, they quantified the rates of PCC remission, which was defined as complete recovery from all symptoms of COVID-19.

The researchers made PCC remission rate assessments in individuals who self-reported experiencing COVID-19 symptoms two months after they first tested positive for the severe acute respiratory syndrome coronavirus 2 (SARS-CoV-2) following the World Health Organization (WHO) description. To date, there remains a shortage of studies characterizing PCC and the prospect of its remission.

Study: Correlates of symptomatic remission among individuals with post-COVID-19 condition. Image Credit: Chollasit Lertpanyanuch / Shutterstock.com

Study: Correlates of symptomatic remission among individuals with post-COVID-19 condition. Image Credit: Chollasit Lertpanyanuch / Shutterstock.com

*Important notice: medRxiv publishes preliminary scientific reports that are not peer-reviewed and, therefore, should not be regarded as conclusive, guide clinical practice/health-related behavior, or treated as established information.

About the study

In the present study, researchers used data from an internet survey, the COVID States Project, which inquired people about their COVID-19 status every four to eight weeks across 50 states in the United States of America between August 2020, and November 2022.

Through all waves of the COVID-19 pandemic, survey respondents with a COVID-19-positive test result were asked to complete a checklist of COVID-19 symptoms. Survey respondents rated the extent to which their symptoms interfered with their day-to-day activities in the past two weeks. The team also gathered information regarding each participant's age, sex, postal code, race, and ethnicity.

Each participant's vaccination status before the initial SARS-CoV-2 infection was also provided. The month of primary series vaccination was then compared to the first reported month of COVID-19. A covariants analysis on the Global Initiative on Sharing Avian Influenza Data (GISAID) database was used to identify the predominant COVID-19 variant at the time of infection.

The first survey in which individuals self-reported PCC was considered their index visit. Survival analysis was used to consider varying follow-up intervals.

The researchers also examined the correlation between sociodemographic features and PCC remission using the Cox regression model. Kaplan-Meier survival curves were also constructed to visualize the study results.

Study findings

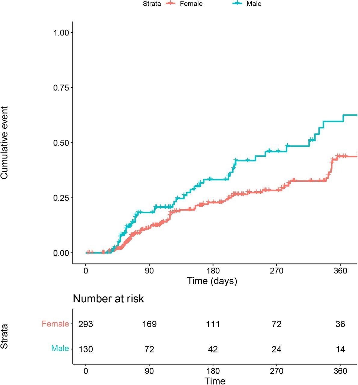
Over 31% of individuals who initially reported PCC and completed at least one subsequent survey later described symptomatic PCC remission. Four factors including male gender, less severe symptoms at the first survey, younger age, and Omicron infections increased the likelihood of reporting recovery from PCC. Individuals who experienced brain fog and shortness of breath were more likely to describe PCC remission.

Kaplan-Meier survival curve examining time to remit among survey respondents identifying as male versus female.

Kaplan-Meier survival curve examining time to remit among survey respondents identifying as male versus female.

Kaplan-Meier survival curve examining association between presence or absence of ‘brain fog’ at initial survey and likelihood of subsequent remission

Kaplan-Meier survival curve examining association between presence or absence of ‘brain fog’ at initial survey and likelihood of subsequent remission

The data points to long-lasting immune dysregulation and hyperinflammatory responses in some PCC-affected individuals.

Regardless of the extensive investigations, scientists do not completely understand the pathophysiology governing PCC completely. The lack of a mechanistic understanding of this phenomenon remains a major challenge to informing PCC treatment strategies, despite its ever-increasing prevalence and well-recognized debilitating effects.

Conclusions

The current study adds to the existing scientific literature by identifying PCC risk factors that also represent risk factors for greater chronicity of COVID-19. Nevertheless, a substantial proportion of study participants reported spontaneous PCC remission, thus highlighting the dire necessity of developing therapies to treat this syndrome and maximize remission rates.

Scientists have only recently begun to describe the potential adverse effects of PCC. However, considering this syndrome would potentially affect millions of people globally, it is crucial to identify individuals least likely to experience spontaneous PCC remission.

The study findings may help target individuals at the highest risk of PCC and maximize the benefit of novel interventions. Improving the current understanding of which individual symptoms are predictive of poorer PCC outcomes may also provide important insights into underlying processes governing PCC.

*Important notice: medRxiv publishes preliminary scientific reports that are not peer-reviewed and, therefore, should not be regarded as conclusive, guide clinical practice/health-related behavior, or treated as established information.

Journal reference:
Neha Mathur

Written by

Neha Mathur

Neha is a digital marketing professional based in Gurugram, India. She has a Master’s degree from the University of Rajasthan with a specialization in Biotechnology in 2008. She has experience in pre-clinical research as part of her research project in The Department of Toxicology at the prestigious Central Drug Research Institute (CDRI), Lucknow, India. She also holds a certification in C++ programming.

Citations

Please use one of the following formats to cite this article in your essay, paper or report:

  • APA

    Mathur, Neha. (2023, February 07). Do individuals with long COVID ever recover fully?. News-Medical. Retrieved on January 17, 2026 from https://www.intakehealthlab.com/news/20230207/Do-individuals-with-long-COVID-ever-recover-fully.aspx.

  • MLA

    Mathur, Neha. "Do individuals with long COVID ever recover fully?". News-Medical. 17 January 2026. <https://www.intakehealthlab.com/news/20230207/Do-individuals-with-long-COVID-ever-recover-fully.aspx>.

  • Chicago

    Mathur, Neha. "Do individuals with long COVID ever recover fully?". News-Medical. https://www.intakehealthlab.com/news/20230207/Do-individuals-with-long-COVID-ever-recover-fully.aspx. (accessed January 17, 2026).

  • Harvard

    Mathur, Neha. 2023. Do individuals with long COVID ever recover fully?. News-Medical, viewed 17 January 2026, https://www.intakehealthlab.com/news/20230207/Do-individuals-with-long-COVID-ever-recover-fully.aspx.

Comments

The opinions expressed here are the views of the writer and do not necessarily reflect the views and opinions of News Medical.
Post a new comment
Post

Sign in to keep reading

We're committed to providing free access to quality science. By registering and providing insight into your preferences you're joining a community of over 1m science interested individuals and help us to provide you with insightful content whilst keeping our service free.

or

While we only use edited and approved content for Azthena answers, it may on occasions provide incorrect responses. Please confirm any data provided with the related suppliers or authors. We do not provide medical advice, if you search for medical information you must always consult a medical professional before acting on any information provided.

Your questions, but not your email details will be shared with OpenAI and retained for 30 days in accordance with their privacy principles.

Please do not ask questions that use sensitive or confidential information.

Read the full Terms & Conditions.

You might also like...
Single-cell analysis reveals gene disruptions in early-onset Alzheimer's brain regions