Measuring the Zeta Potential of Bovine Serum Albumin with the BeNano 90 Zeta

The building blocks of proteins are amino acids. Each protein molecule often contains 300 or more amino acids, and proteins have 20 different amino acids commonly found within them.

This means that proteins are essentially long polymer chains of amino acids being held together by peptide bonds. The polymer chains fold into 3D shapes and are most often observed as quaternary or tertiary structures.

Carboxyl and amino groups on the surface usually cause the protein to be charged when they are dispersed in an aqueous environment. The charges may influence the stability of the suspension because they may induce intermolecular forces.

Higher zeta potential could prevent the aggregation of protein molecules, maintaining the protein solution’s dispersed state. This is because of the stronger repulsive interaction between protein particles caused by the higher zeta potential.

The zeta potential of a protein solution is influenced by several factors, including small molecule additives like surfactants, ionic strength of the solution, pH values of the environment and the protein’s composition.

ELS (electrophoretic light scattering) method is used to measure the zeta potential of a protein suspension. A challenge when using ELS for the measurement of zeta potential for low molecular weight proteins is the low signal-to-noise ratio caused by weak scattering intensity.

Bettersize Instruments’ BeNano 90 Zeta rapidly and accurately characterizes zeta potential and particle size of Bovine Serum Albumin (BSA) in an aqueous solution, detailed in this article.

The machine’s capability for measuring zeta potential and particle size in low molecular weight proteins despite weak scattering intensity is demonstrated in the results.

Theory and instrumentation

Electrophoretic light scattering, or ELS, is the name of the technology used to measure zeta potential. ELS experiments work by irradiating the sample with a laser beam, with scattered light detected at a forward angle of 12°.

Both ends of the sample cell have an electric field applied to them that is also used to subject the diluted sample solution or suspension. This results in the charged particles in the sample having electrophoretic movement.

Consequently, there is a frequency shift in the scattered light intensity as compared to the incident light due to the Doppler effect. PALS analysis converts the scattered light signals with a frequency shift to phase shift.

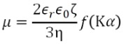
The phrase plot is used to obtain the electrophoretic mobility μ, or the velocity of the electrophoretic movement per unit electric field. Using Henry’s equation, the electrophoretic mobility μ and its zeta potential ζ can be related as follows:

Optical layout of the BeNano 90 Zeta

Figure 1. Optical layout of the BeNano 90 Zeta. Image Credit: Bettersize Instruments Ltd.

Where Kα is the ratio between the particle radius and the double layer thickness, α is the radius of the particle, K is the reciprocal Debye length, f(Kα) is the Henry function, η is the viscosity of the solvent, εr is the constant of the relative dielectric and ε0 is the solvent dielectric constant in vacuum.

Bettersize Instruments’ BeNano 90 Zeta is described in this article as it is used for zeta potential and size measurement. The sample is illuminated using a laser beam with a power of 10 mW and a wavelength of 633 nm.

APD, or avalanche photodiode detectors, are set up at 90° and 12° for size measurement and zeta potential measurement, respectively. The BeNano 90 Zeta, using the PALS (phase analysis light scattering) technique, can efficiently detect information about the zeta potential of samples with low electrophoretic mobility.

Experiment

The BSA was dispersed in a 5 nM NaCl solution to prepare a 10 mg/ML BSA stock solution and was mixed with for 30 minutes using a magnetic stirrer. A 0.22 μm polyethersulfone filter was then used to remove any dust or aggregates from the stock solution.

The BeNano 90 Zeta’s built-in temperature control unit was used to maintain the solution’s temperature at 25°C ± 0.1°C. Some of the stock solutions were moved into a PS (polystyrene) sample cell for the purpose of particle size measurement via DLS (dynamic light scattering) technique.

The remaining solution was moved to a folded capillary cell and zeta potential measurement by ELS was conducted. Ten sub runs were done for both measurements. The repeatability of the results was ensured by measuring each sample three times.

Results and discussion

DLS technique was used to obtain the particle size distribution and hydrodynamic radius of the BSA solution.

The BSA solution’s z-average diameter was determined to be 7.54 ± 0.11 nm, which is very similar to the nominal size of BSA (7.1 nm), as determined by the literature. Figure 2 shows a smooth correlation function which indicates that the BSA stock solution was free of large aggregates and well dispersed.

ELS technique in the BeNano 90 Zeta was used to perform the zeta potential measurement of the BSA sample. Figure 3 shows a phase plot of the BSA sample’s zeta potential measurement by ELS.

The frequency shift of the scattered light during the electrophoresis due to the Doppler effect is shown via the slops in the phase plot. Great signal-to-noise ratio is indicated by the clear slopes of the phase plot shown in Figure 3.

Particle size measurement

Correlation function (top) and particle size distribution (bottom) of BSA sample.

Figure 2. Correlation function (top) and particle size distribution (bottom) of BSA sample. Image Credit: Bettersize Instruments Ltd.

Zeta potential measurement

Phase plot of the BSA sample.

Figure 3. Phase plot of the BSA sample. Image Credit: Bettersize Instruments Ltd.

Table 1. Results of BSA sample’s zeta potential measurement. Source: Bettersize Instruments Ltd.

Trial Zeta Potential [mV]
1 11.19
2 10.30
3 10.43
Average 10.65
Standard Deviation 0.48

 

Table 1 lists the average value and standard deviation of the zeta potential measurements from all three trials.

The BSA particles were positively charged in the current environment, as shown by the positive zeta potential value of the BSA sample in an aqueous solution. The repeatability of the tests was good, as indicated by the relatively small standard deviation of measurements between the three trials.

Conclusion

The BeNano 90 Zeta has a high sensitivity optical system, as demonstrated by the BSA measurement results and the stability of signal analysis through PALS.

About Bettersize Instruments Ltd.

With over 25 years experience developing and manufacturing particle characterization instruments, Bettersize has introduced breakthrough technology in the field of particle size & shape measurement.

By achieving high quality and superior performance, our instruments provide precise analysis results of particle size, particle shape, and powder characteristics, helping scientists and engineers to understand material properties, facilitate research and improve production efficiency.

Bettersize product line for particle size and shape analysis includes instruments of all needs and budgets, from basic to advanced research models. These instruments are widely applied in Pharmaceuticals, Battery materials, Mining and minerals, Metals, Chemicals and Surface coatings, measuring materials with size ranges from nanometer to millimeter.

Focused on technology innovation, instruments manufacturing, application support and after-sales services, Bettersize provides expertise and professional solutions and assures customers the highest confidence in our products.


Sponsored Content Policy: News-Medical.net publishes articles and related content that may be derived from sources where we have existing commercial relationships, provided such content adds value to the core editorial ethos of News-Medical.Net which is to educate and inform site visitors interested in medical research, science, medical devices and treatments.

Last updated: Mar 24, 2023 at 6:06 AM

Citations

Please use one of the following formats to cite this article in your essay, paper or report:

  • APA

    Bettersize Instruments Ltd.. (2023, March 24). Measuring the Zeta Potential of Bovine Serum Albumin with the BeNano 90 Zeta. News-Medical. Retrieved on January 17, 2026 from https://www.intakehealthlab.com/whitepaper/20210310/Measuring-the-Zeta-Potential-of-Bovine-Serum-Albumin-with-the-BeNano-90-Zeta.aspx.

  • MLA

    Bettersize Instruments Ltd.. "Measuring the Zeta Potential of Bovine Serum Albumin with the BeNano 90 Zeta". News-Medical. 17 January 2026. <https://www.intakehealthlab.com/whitepaper/20210310/Measuring-the-Zeta-Potential-of-Bovine-Serum-Albumin-with-the-BeNano-90-Zeta.aspx>.

  • Chicago

    Bettersize Instruments Ltd.. "Measuring the Zeta Potential of Bovine Serum Albumin with the BeNano 90 Zeta". News-Medical. https://www.intakehealthlab.com/whitepaper/20210310/Measuring-the-Zeta-Potential-of-Bovine-Serum-Albumin-with-the-BeNano-90-Zeta.aspx. (accessed January 17, 2026).

  • Harvard

    Bettersize Instruments Ltd.. 2023. Measuring the Zeta Potential of Bovine Serum Albumin with the BeNano 90 Zeta. News-Medical, viewed 17 January 2026, https://www.intakehealthlab.com/whitepaper/20210310/Measuring-the-Zeta-Potential-of-Bovine-Serum-Albumin-with-the-BeNano-90-Zeta.aspx.

Other White Papers by this Supplier

While we only use edited and approved content for Azthena answers, it may on occasions provide incorrect responses. Please confirm any data provided with the related suppliers or authors. We do not provide medical advice, if you search for medical information you must always consult a medical professional before acting on any information provided.

Your questions, but not your email details will be shared with OpenAI and retained for 30 days in accordance with their privacy principles.

Please do not ask questions that use sensitive or confidential information.

Read the full Terms & Conditions.